前言:
时隔多日,我们学习完java的面向对象阶段,毕竟需要付诸实践,这个小项目就 作为我们第一个java面向对象解决的项目,接下来就让我们一起进入项目的世界吧

目录
一、项目需求
二、功能实现
 
整个项目UML类图。制作不标准,见谅。

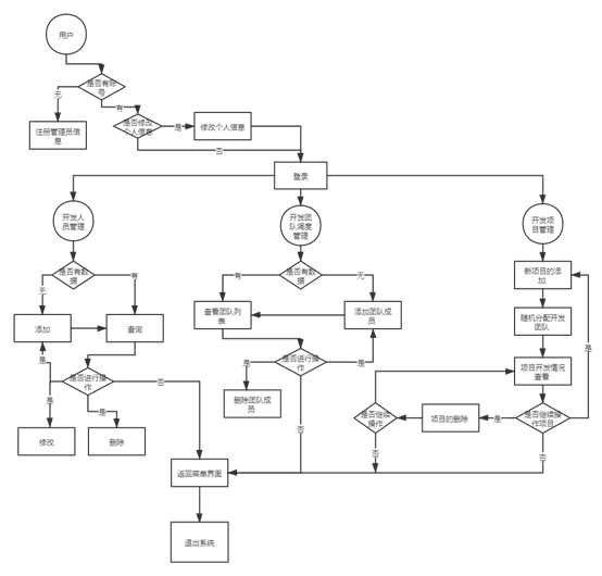
系统流程

三、具体模块的实现
1.实现登陆模块。
思路:要实现登陆模块,我们首先应该想到,我们平常登陆账号都是输入账号,密码,匹配你之前注册的账号密码即可登陆成功, 怎么做到我们输入的账号密码和我们提前注册的账号密码匹配呢,这里我们就要想到,我们输入的账号密码都是字符串类型,既然是字符串,我们就可以使用String类的equals方法进行匹配,匹配成功,则登陆成功。
那么,在我们的项目当中,登陆之前我们是肯定要匹配他是否存在于我们的注册账号之中,如果存在,直接登陆, 如果不存在,我们应该让用户先注册,当然,也可以加一个随机数组成的验证码来进一步强化我们的登陆模块。
实例代码
package com.Team.loginAndRegister;
/**
 * @author WangWei
 * @version 1.0
 */
public class LoadingAndRegister {
    public String user;
    public String password;
    public LoadingAndRegister() {
    }
    public LoadingAndRegister(String user,String password) {
        this.user = user;
        this.password = password;
    }
    public void setUser(String user) {
        this.user = user;
    }
    public String getUser() {
        return user;
    }
    public void setPassword(String password) {
        this.password = password;
    }
    public String getPassword() {
        return password;
    }
}
package com.Team.loginAndRegister;
import java.util.Scanner;
import java.util.ArrayList;
/**
 * @author WangWei
 * @version 1.0
 */
public class LoadingAndRegisterTest {
    /**
     * - ArrayList<LoadingAndRegister> a 储存账号密码的集合
     * - LoadingAndRegister lr 账号密码类的对象
     */
    Scanner sc = new Scanner(System.in);
    
    private ArrayList<LoadingAndRegister> a = new ArrayList<LoadingAndRegister>();
    private LoadingAndRegister lr = new LoadingAndRegister();
    /**
     * 注册方法
     * @throws InterruptedException
     */
    public void loginAccount() throws InterruptedException {
        
        TSUtility.loadSpecialEffects();
        System.out.println("开始注册:");
        System.out.println("请输入你的注册账户名称:");
        String loginUserName = TSUtility.readKeyBoard(6, false);
        lr.setUser(loginUserName);
        System.out.println("请输入你的登陆密码:");
        String loginPassword = TSUtility.readKeyBoard(8, false);
        lr.setPassword(loginPassword);
        a.add(lr);
        System.out.println("注册成功,请登陆!");
    }
    /**
     * 登陆方法
     * @throws InterruptedException
     */
    public void loading() throws InterruptedException {
        Scanner sc = new Scanner(System.in);
        boolean flag = true;
        int count = 5;
        while (flag) {
            System.out.println("********************🐱");
            System.out.println("***   <登录界面>   ***");
            System.out.println("***     (:      ***🐱");
            System.out.println("********************🐱");
            System.out.println("请输入你的登陆账户名称:");
            String userName = sc.next();
            System.out.println("请输入你的登陆密码:");
            String password = sc.next();
            //未注册
            if (lr.getUser() == null || lr.getPassword() == null) {
                System.out.println("未检测到您的账号,请先注册!");
                loginAccount();
            } else if (userName.equals(lr.getUser()) && password.equals(lr.getPassword())) {
                System.out.println("登陆成功!欢迎您:" + lr.getUser());
                flag = false;
            } else {
                if (count == 1) {
                    System.out.println("你的账户已被锁定,已强制退出!");
                    System.exit(0);
                } else {
                    count--;
                    System.out.println("登陆失败!用户名或密码不匹配,你还有" + (count) + "次机会!\n请重新登陆:");
                }
            }
        }
    }
    /**
     * 修改用户信息方法
     * @throws InterruptedException
     */
    public void updateAccount() throws InterruptedException {
        boolean flag = true;
        while (flag) {
            System.out.println("=====请选择功能=====");
            System.out.println("1、修改密码");
            System.out.println("2、修改用户名");
            System.out.println("3、修改用户名和密码");
            System.out.println("4、不修改,退出");
            System.out.println("===================");
            System.out.print("请选择:");
            char c = TSUtility.readMenuSelection();
            TSUtility.loadSpecialEffects();
            switch (c) {
                case '1':
                    System.out.println("请输入原密码:");
                    String oldPassword = sc.next();
                    if (lr.getPassword().equals(oldPassword)) {
                        System.out.println("密码正确,请输入你的新密码:");
                        String newPassword = sc.next();
                        lr.setPassword(newPassword);
                        System.out.println("设置成功,请记住新密码!");
                        break;
                    } else {
                        System.out.println("密码错误,请重新选择!");
                    }
                    break;
                case '2':
                    System.out.println("请输入原密码:");
                    String oldPassword1 = sc.next();
                    if (lr.getPassword().equals(oldPassword1)) {
                        System.out.println("密码正确,请输入你的新用户名:");
                        String newUserName = sc.next();
                        lr.setPassword(newUserName);
                        System.out.println("设置成功!");
                    } else {
                        System.out.println("密码错误,请重新选择!");
                    }
                    break;
                case '3':
                    System.out.println("请输入原密码:");
                    String oldPassword2 = sc.next();
                    if (lr.getPassword().equals(oldPassword2)) {
                        System.out.println("密码正确,请输入你的新用户名:");
                        String newUserName = sc.next();
                        lr.setPassword(newUserName);
                        System.out.println("请输入你的新密码:");
                        String newPassword = sc.next();
                        lr.setPassword(newPassword);
                        System.out.println("设置成功!");
                    } else {
                        System.out.println("密码错误,请重新选择!");
                    }
                    break;
                case '4':
                    System.out.println("退出中");
                    TSUtility.loadSpecialEffects();
                    System.out.println("退出成功");
                    flag = false;
                    break;
                default:
                    System.out.println("输入错误,请重新输入!");
                    break;
            }
        }
    }
}
 
当我们注册完毕后,就要进入系统,进行我们的几个操作。
1.完成开发人员的增删改查。
2.完成将开发人员添加到开发团队的操作,删除,修改操作。
3.完成项目模块, 将项目交给开发团队进行开发的操作。以及项目的曾删改查。
那么完成开发人员的增删改查,根据我们的UML类图设计来看,我们至少要完成九个类和一个接口的编写。
通过将employee类,programmer类,designer类,architect类,这四个类是存在继承关系的,目的是为了继承父类的属性。另有三个类,PC,notebook,printer,他们都实现了一个接口,equipment。这几个类完成之后,我们就着手编写NameListService类,这个类的功能主要是完成对我们的开发人员进行增删改查的任务。
NamlistService类里面要注意的问题主要是开发人员的ID问题,要想开发人员的ID随着我们的增加或者删除而增加或者删除,那么我们可以定义一个全局变量,去控制ID的变化。通过增加一个开发人员,我们设置他的ID自增,那么我们删除的时候,从他删除那个位置就开始,因为我们使用的集合来存储开发人员,他的前一个元素被删除之后,那么他的后一个元素就应该到被删除的那个元素的位置,在集合当中的下标就会向前移动。我们要做的就是将该元素的ID相应的减一,那么就会用到循环去找到该下标对应的元素,然后去设置他的ID。示例代码如下
boolean flag = false;
        for (int i = 0; i < employees.size(); i++) {
            if (id == employees.get(i).getId()) {
                System.out.println( "员工:"+ employees.get(i).getName() + "删除成功!");
                employees.remove(i);
                for (i = id; i <= employees.size(); i++) {
                    //这个代码表示,将我们第i个对象从集合中删除之后,我们后一个元素的ID就应该相应的减一。
                    employees.get(i - 1).setId(employees.get(i - 1).getId() - 1);
                } 
这个就需要结合集合的下标进行理解,大家可以自行画一个图辅助理解。
做完这个我们就需要做开发团队的模块,开发团队模块里面需要注意的就是数据互通的问题。
        当我们做到这个部分的时候,进行测试时会发现一个问题,我们无法将我们之前namelist类里面修改过的数据拿过来用,一是因为我们重新创建对象的原因,导致数据发生变化,那么怎么去杜绝此类情况发生呢?有两种解决方案:
         一:我们可以把我们需要使用到NameListService类里面的数据的方法的参数改成NameListService类的对象,这样就不会导致我们去创建对象导致数据发生改变。
实例:
 public ArrayList<ArrayList<Programmer>> getManyTeam(NameListService nls) throws TeamException { 
二:我们可以将NameListService类中的存放开发人员的集合改为静态修饰,那么他的数据就可以共享,当我们这么做了之后,会发现我们测试时他将我们代码块中的内容打印了一遍,又将我们修改好的集合中的内容打印了一遍,这样就不符合我们的要求,这是因为,类加载的时候,会默认打印一遍代码块的内容,那么我们可以对代码块的内容进行一个判断,判断我们存放开发人员的集合是否为空,如果为空,才打印代码块的内容,如果不为空,就打印集合内容。
实例:
 {
       /* if (employees.isEmpty())
        {
        }*/
        employees.add(new Employee(count, "马云 ", 22, 3000));
        employees.add(new Architect(++count, "马化腾", 32, 18000, new NoteBook("联想T4", 6000), 60000, 5000));
        employees.add(new Programmer(++count, "李彦宏", 23, 7000, new PC("戴尔", "NEC 17寸")));
        employees.add(new Programmer(++count, "刘强东", 24, 7300, new PC("戴尔", "三星 17寸")));
        employees.add(new Designer(++count, "雷军 ", 50, 10000, new Printer("激光", "佳能2900"), 5000));
        employees.add(new Programmer(++count, "任志强", 30, 16800, new PC("华硕", "三星 17寸")));
        employees.add(new Designer(++count, "柳传志", 45, 35500, new PC("华硕", "三星 17寸"), 8000));
        employees.add(new Architect(++count, "杨元庆", 35, 6500, new Printer("针式", "爱普生20k"), 15500, 1200));
        employees.add(new Designer(++count, "史玉柱", 27, 7800, new NoteBook("惠普m6", 5800), 1500));
        employees.add(new Programmer(++count, "丁磊 ", 26, 6600, new PC("戴尔", "NEC17寸")));
        employees.add(new Programmer(++count, "张朝阳 ", 35, 7100, new PC("华硕", "三星 17寸")));
        employees.add(new Designer(++count, "杨致远", 38, 9600, new NoteBook("惠普m6", 5800), 3000));
    } 
项目模块需要注意的就是项目的添加问题,需要去做个判断,不能比如项目中没有团队,而你却添加了。
四、总结
完成这个开发项目,对于新手来说,确实有难度,但是只要去花时间,还是能够完成的。
接下来我分享一下我在这个项目中的所得以及经验。
首先,拿到这个项目之前应该先熟悉流程,理清楚他的逻辑,厘清各个模块之间的关系,再去完成各个模块的内容,因为我们用到的是面向对象的知识,那我们更应该好好地理清各个类之间的关系,继承,实现等等。
完成每一个模块,一定要做好测试,把能找出来的bug尽量找出来,不然等到最后做主控模块来找bug能让你抓狂。
完成这个项目之后,你会对面向对象的知识加一步认知,并且越来越熟悉面向对象的各种特性。以及我们之前学过的各种小知识的查漏补缺。
以上便是我对这个项目的理解。欢迎大家讨论,不足之处,还请见谅,代码如下:
链接:https://pan.baidu.com/s/1U0a8xF9TjGWw3gWd-zIreA 
 提取码:akc8
